Pick your poison

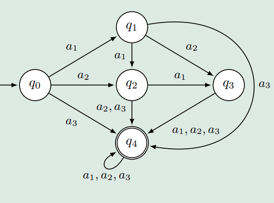
Deterministic Finite State MachinesDeterministic Finite State Machines
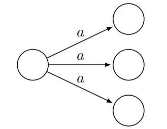
Non-Deterministic Finite State MachinesNon-Deterministic Finite State Machines
Turing machines (I/O-computing)Turing machines (I/O-computing)
Turing machines (language recognizing)Turing machines (language recognizing)
While and Loop programsWhile and Loop programs
Goto programsGoto programs
Primitive Recursive FunctionsPrimitive Recursive Functions (beta)